ABOUT ME
WORK EXPERIENCE
Projects
VOLUNTEER
ACHIEVEMENTS
CONTACT ME
ABOUT ME
WORK EXPERIENCE
Projects
VOLUNTEER
ACHIEVEMENTS
CONTACT ME
| KHANH DOAN, EIT
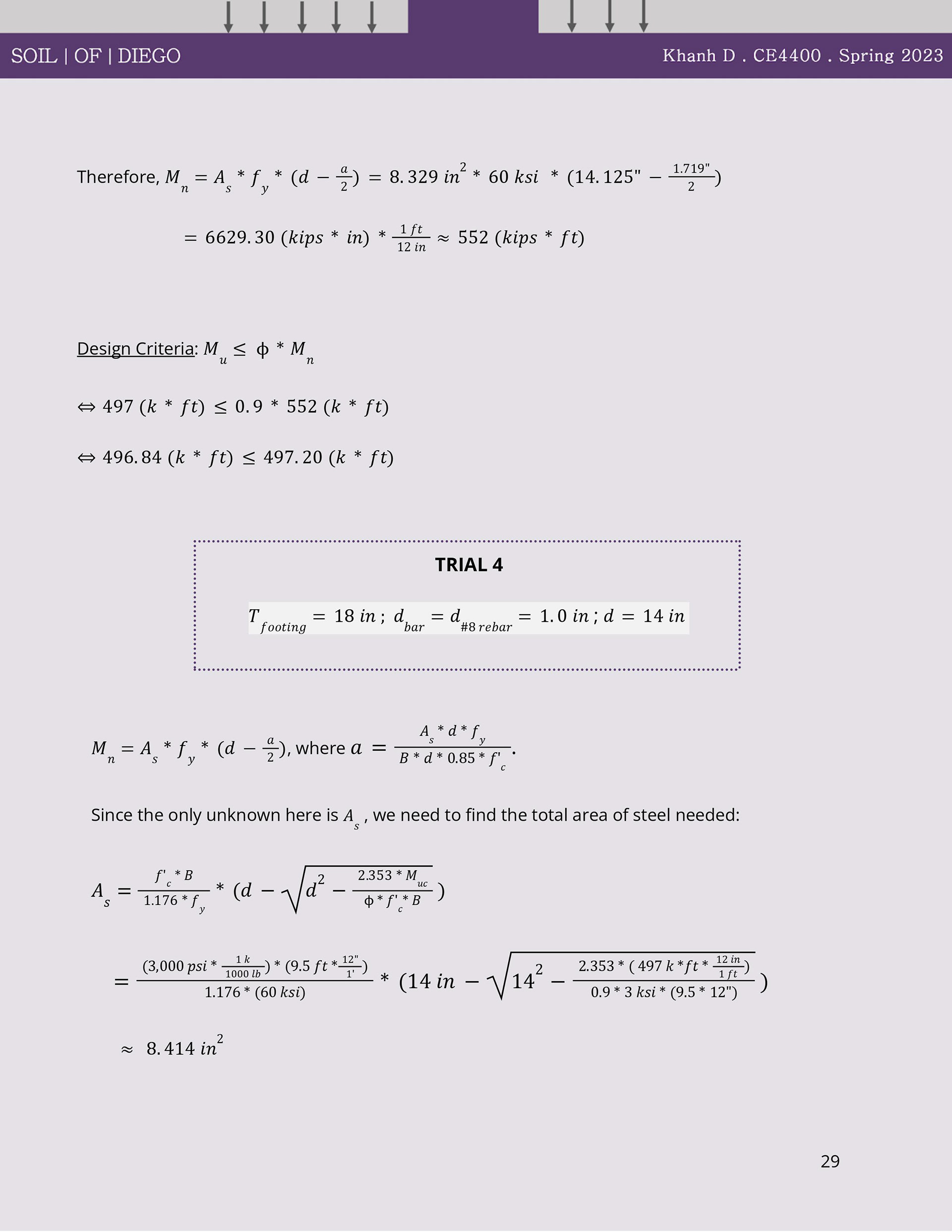
FOOTING DESIGN / REINFORCED CONCRETE
Designing a square foundation of a site located in Downtown San Diego
Foundation & Retaining Wall Design. Cal Poly Pomona Spring 2023
You may also like
FIVE STORY OFFICE BUILDNG / SITE-CAST CONCRETE
2022
SEVEN-STORY OFFICE BUILDING / EARTHQUAKE ENGINEERING
2023
TWO-STORY TIMBER RESIDENTIAL HOUSE / Presentations
2023
2023 CAPSTONE RESEARCH PROJECT | KELLOGG HONORS COLLEGE
2024
FIVE STORY OFFICE BUILDNG / PRE-CAST CONCRETE
2022
SLOPE STABILITY PROJECT
2022
FIVE STORY OFFICE BUILDING / SITE-CAST CONCRETE
2022
SWAY FRAME STRUCTURAL ANALYSIS
2022
ENVIRONMENTAL CHALLENGE PROJECT
2022
STEEL BRIDGE / 2022 SSBC RULES PRACTICE
2022
↑
Back to Top