PROJECT 1 | WATER STORAGE TANK DESIGN
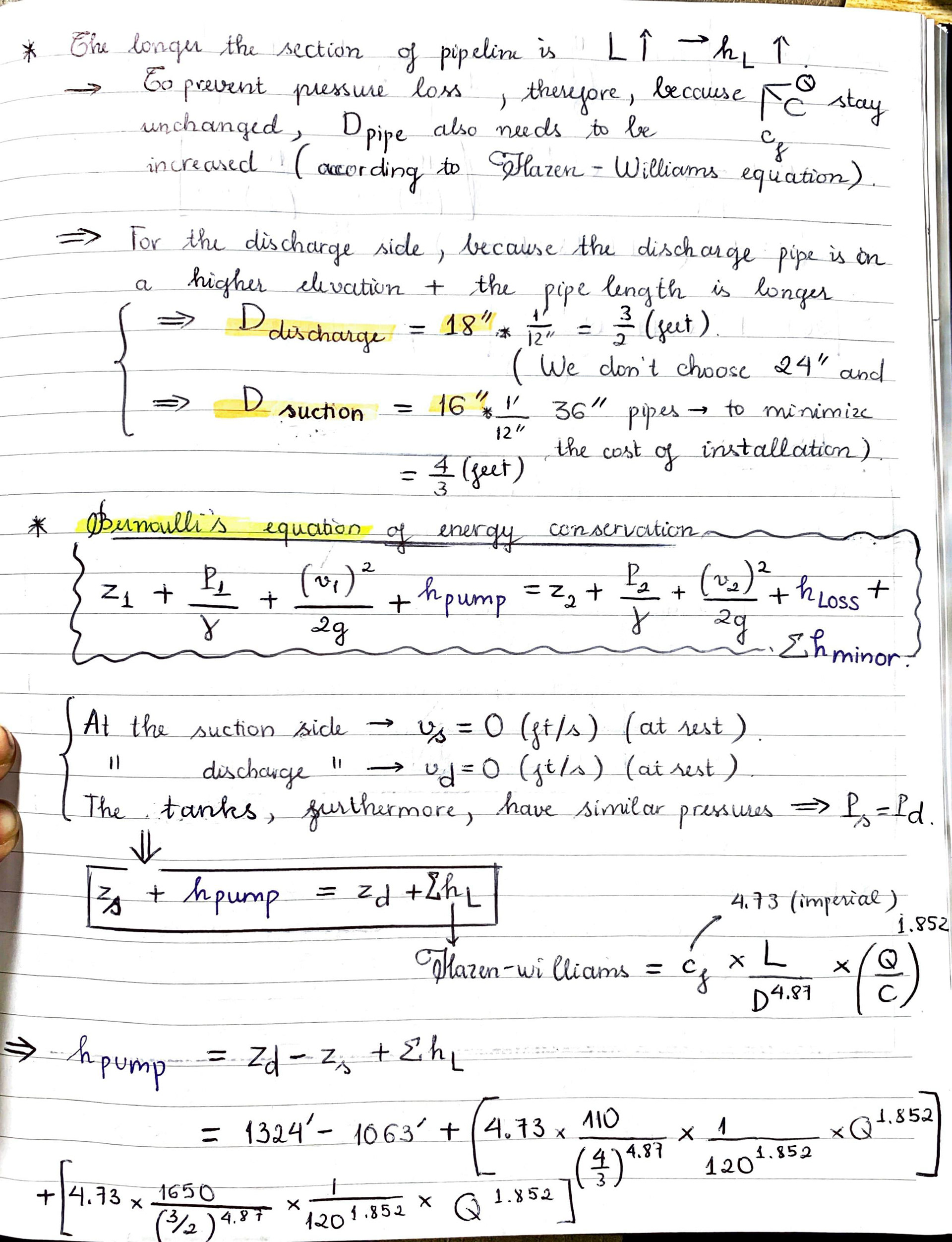
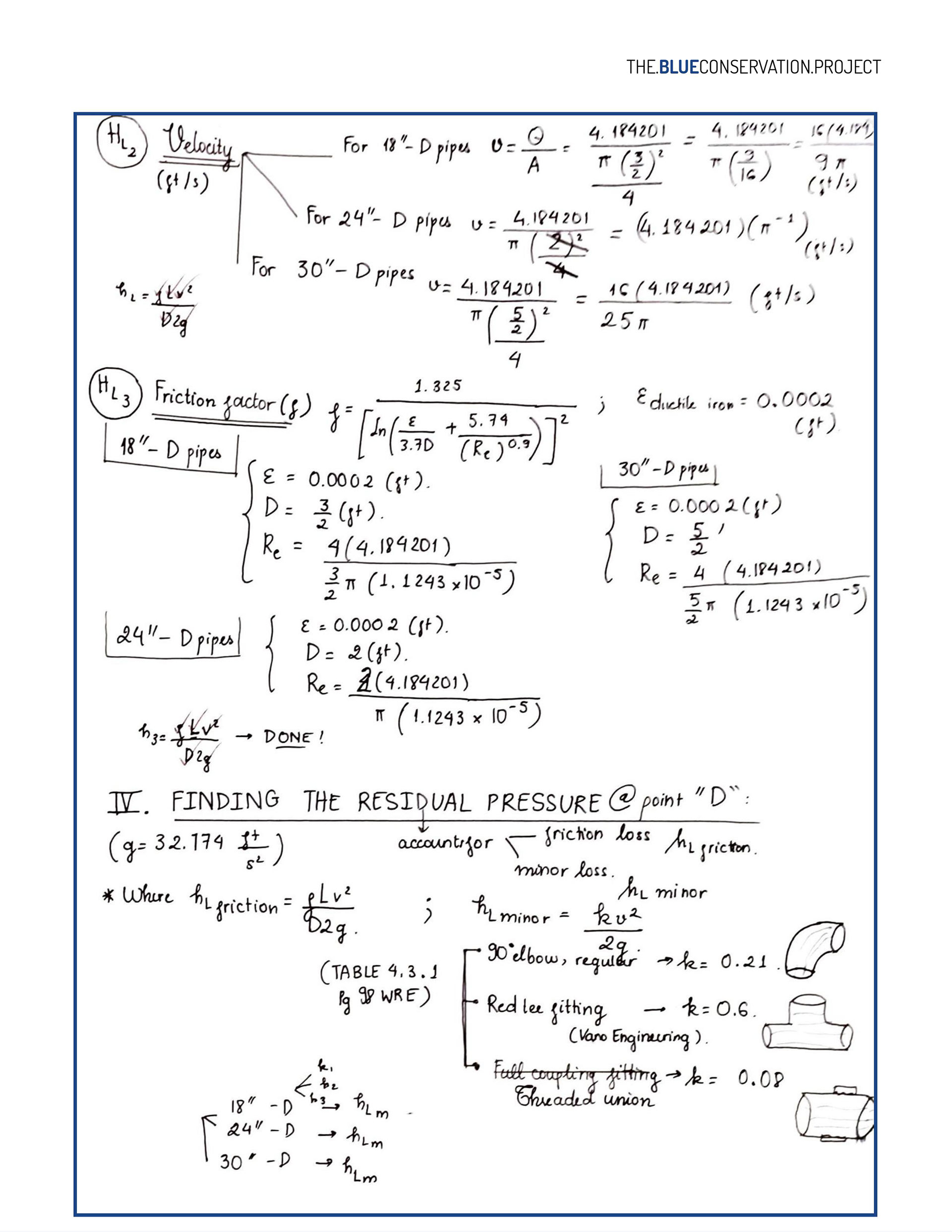
PROJECT 2 | PIPELINE DESIGN & ANALYSIS
PROJECT 3 | LOOPED PIPE NETWORK - DESIGN & ANALYSIS
PROJECT 4 | PUMP STATION DESIGN

You may also like

Back to Top