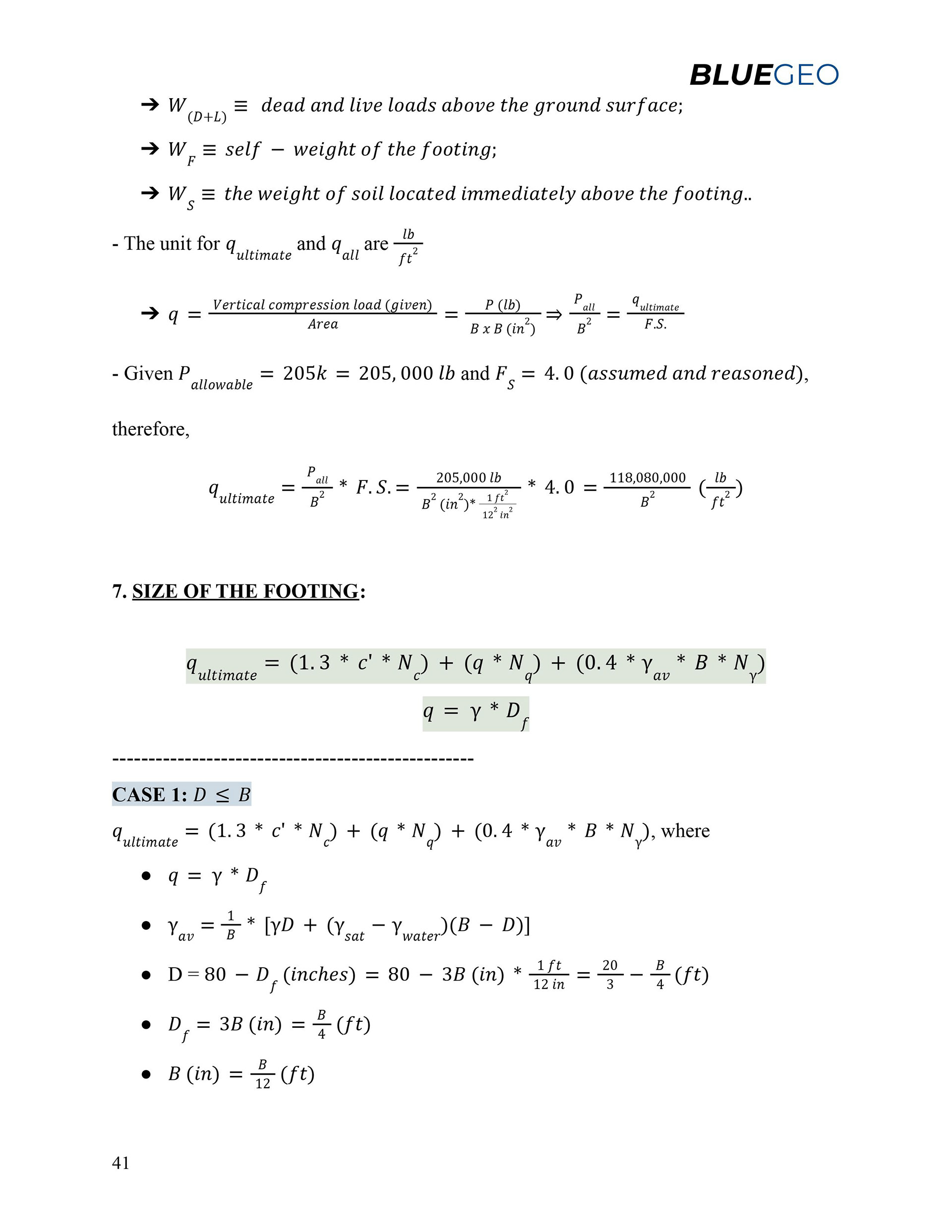
Perform a Geotechnical Site Investigation and Sizing Spread Footings for a typical small Structures Project